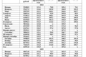
Астраханьстат опубликовал доклад о социально-экономическом положении региона с января по сентябрь 2025 года. Так, среднемесячная заработная плата работников составила в августе 67 тысяч рублей. По сравнению с аналогичным периодом 2024 года, оплата труда выросла на 7,2%. А если сравнивать с июлем 2025 года, то платить меньше в среднем стали на 2,6%. Больше всего платят в следующих видах экономической деятельности: Растениеводство и животноводство, охота и предоставление услуг в данных областях. Обеспечение электрической энергией. Транспортировка и хранение. Деятельность профессиональная, научная и техническая. Строительство. Добыча полезных ископаемых. А вот меньше всего получают работники сфер рыболовства, недвижимости, общепита. Цифры, конечно, внушительные. И не все астраханцы с ними согласны. Далеко не каждый житель региона получает по 67 тысяч рублей ежемесячно. Но не стоит забывать, что это средняя оплата труда, когда кто-то зарабатывает 172 тысячи рублей, а кто-то - 40 тысяч рублей. Вот так.
Фотоматериалы к новости:

